- 關于塑料螺絲 ,你真的了解嗎 2023-07-14
- 緊固件基礎知識FAQ(四)| 你一定要了解的8個緊固件基本常識 2023-07-03
- 法士威2023年第二季度工作總結Party圓滿落下帷幕 2023-07-01
- 法士威2023第一季度工作總結 part,圓滿收官 2023-04-02
深圳市法士威精密零件有限公司
文章出處:螺絲百科 網責任編輯: 法士威精密零件 閱讀量: 發表時間:2024-03-08
螺栓聯接是工程結構中應用最廣泛的聯接形式之一,具有結構簡單、裝拆方便和實用性強等特點。同時,由于螺栓自身的聯接形式,它又成為了整個結構中非線性因素的最主要來源。
特別是當其承受軸向拉伸杠桿力作用的時候,即使制造螺栓的材料仍保持線性,螺栓聯接的抗力也會呈現出非線性的“S型”,如圖1所示[1]255。實際應用中往往會將螺栓連接結構簡化為線性系統,以達到方便、快速的求解目的。目前螺栓聯接剛度的計算中,主 要關注的是安裝結構不承受載荷作用的初始剛度,通常將承受軸向拉伸載荷作用的螺栓聯接結構簡化成具有軸向剛度的彈簧[2]。

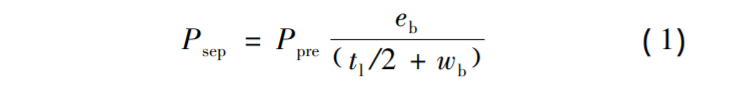
當軸向杠桿力作用于螺栓聯接時,通常將結構簡化為彈簧聯接剛性桿的1-D分析模型,如圖2所示。

被聯接結構假設為剛性,以“fulcrum”為支點,承受外部杠桿力Psep及螺栓預緊力Ppre的共同作用,可以 將其簡化為如圖2,其中:
wb—杠桿力Psep與支撐點“fulcrum”之間的距離;lb—杠桿力Psep與預緊力Ppre作用點之間的距離;eb—預緊力Ppre作用點與支撐點“fulcrum”之間的距離。
根據力的平衡的關系,可以得到如下:

其中,令fpry為杠桿力影響因子

將式(2)簡化為
由式(3)不難發現,該假設條件下杠桿力的大小與預緊力和影響因子fpry成正比。
①當Ppre( 螺栓預緊力)一定的條件下,外載荷作用線與螺栓預緊力作用點之間距離lb越近,該結構所能承受的外力就越大,螺栓聯接所表現出的整體剛度就越大。
②當螺栓聯接結構確定(即fpry參數一定)的條件下,預緊力越大,結構能夠承受的杠桿力就越大。
真實的螺栓結構在服役過程中,如壓力容器,航空發動機機匣等采用螺栓法蘭進行聯接的結構[3]1-3[4-5];車輛底架吊裝的制動裝置,高速動車組設備艙裙板等[6]。預緊力、螺孔位置都會對其軸向聯接杠桿力產生較顯著的影響,且這些影響中均包含了非線性性質。明確這些影響因素的作用規律,對于設計合理的承受軸向拉伸載荷的螺栓聯接往往是至關重要的,而采用簡單的 1-D 模型顯然無法滿足這一需求。
本文建立了螺栓聯接結構的精細的有限元模型, 采用Abaqus對其進行了數值仿真分析,分析中充分考慮了結構的材料非線性和接觸非線性,同時根據上述簡化模型的結果,選取螺栓聯接的設計過程中預緊力和預緊力作用位置兩個主要因素,明確其影響規律,對上述參數對結構聯接剛度變化的影響進行分析,提出杠桿力作用下螺栓聯接剛度變化的計算模型。
1 杠桿力作用下的螺栓聯接模型
1 模型基本參數
本文以M6螺栓聯接結構為研究對象,選取一個如圖3所示的基本參數的結構模型,各參數的數值如表1所列。

2 有限元模型基本參數
1. 2. 1 單元類型選擇
本文利用Abaqus建立螺栓聯接精細有限元分析模型,為了更好的選擇單元類型,作者首先采用不同單元進行了試算,并得出以下兩點結論:
( 1) 默認的減縮積分單元在高應變區會產生非物理性位移的“沙漏現象”,因此采用完全積分單元進行計算。
( 2) 二階六面體單元的與一階六面體單元計算結果沒有明顯的區別,均可以滿足數值仿真的精度。
綜合考慮上述分析,并盡量節省計算所需的時間, 本文建議采用一階六面體單元C3D8 進行模型網格劃分,螺栓與被聯接結構以及聯接結構之間的幾何非線性則采用“硬接觸”摩擦進行模擬。
2. 2 網格密度的選擇
2010 年,Grant M. Henson[3]9-11在針對如圖3所示的聯接結構模型建立時,討論了相關網格大小的參數, 本文根據其論文計算結論分別采用1mm~3mm單元長度并進行了驗證,計算結果誤差在5%以內,因此選擇較為經濟的分析模型即單元長度為3mm進行模型建立,共劃分了16071個結點,12614個單元,如圖 4 所示。

相同邊界條件杠桿力外載荷Psep加載范圍0N~4600N,對圖3所示的模型采用圖4網格,在相同邊界條件下分別采用彈性及彈-塑性材料對模型進行簡單的校驗分析,材料參數曲線如圖5a所示,計算結果如圖5c和5d所示,相同作用力下的軸向力和軸向位移之間的關系如圖5b所示。
從計算結果中可以看出螺栓在承受杠桿力作用過程中,聯接結構在螺栓預緊力作用下會出現局部的屈服現象,這會在很大程度上影響結構的整體性能,為了更確切的描述結構的服役狀態,分析中引入了材料的塑性以得到更為合理的數值仿真結果。
對于本文計算螺栓整體聯接剛度的分析,首先需要確定螺栓聯接外載荷作用的范圍,利用強度極限與螺栓的有效面積估算螺栓保證剛度的極限拉伸值,M6 螺栓聯接的計算結果為1500N,按照該數值進行加載,可以確定采用彈性材料及彈塑性材料結果基本一致[7]。
2 杠桿力作用下的影響參數分析:2. 1預緊力Ppre的影響分析根據剛度的基本定義結構能夠抵抗變形的能力, 首先將模型一端固定,施加螺栓預緊力,預緊力Ppre變化范圍是 6000N~12000N,完成螺栓預緊力施加后,進行另一端的杠桿力加載,如圖6a所示,計算過程中定義外載荷加載步長為60N,根據上述分析得出0N~1500N杠桿力作用的計算結果,如圖6b所示,由于定義了接觸面間的接觸關系,計算結果提取軸向接觸力的大小變化作為計算外載荷Fz,如圖6c所示,軸向變形由接觸面間隙取最大點的平均位移差如圖6d所示[8]。

杠桿力變化過程中螺栓聯接結構的剛度Kpry,如式( 4) 所示:

Fz—杠桿力作用下的接觸面軸向力;
Uc—軸向分離聯接結構的位移;
根據螺栓M6計算的杠桿力極限進行加載,討論該載荷作用下的螺栓聯接剛度變化,計算結果如表2所列。

根據杠桿力作用的變化,利用Abaqus求解螺栓聯接剛度的數據列于表2中,結果變化如圖7所示,分析不難得到以下規律:

(1) 聯接初始剛度隨著預緊力的增加而增加, 預緊力增加100%的條件下,初始剛度增加 13% ,作為聯接結構中一個重要的影響因素預緊力可以提高螺栓聯接的初始剛度,但是上述分析結果表明該因素的影響較為有限,實際過程中只要能保證一定的預緊力就可以保證有效的初始剛度,而過大的預緊力如若控制不當或者偶然過載,反而會導致連接的失效。
( 2) 相同預緊力條件下隨著杠桿力的增加,螺栓聯接剛度迅速下降,下降比例超過50% ,該計算結果與文獻[3]23- 26結果相吻合。杠桿力作用下的不同預緊力的聯接整體剛度隨杠桿力變化如圖7所示,隨著杠桿力的增加,初始狀態的聯接剛度迅速下降,當杠桿力達到M6螺栓彈性極限值時,預緊力對剛度的影響基本趨于一致。
綜合上述分析,預緊力作為聯接的最重要因素,其對聯接剛度的影響并不是非常大,保證有效的預緊力即可以達到滿意的聯接初始剛度。而對于包含有螺栓聯接結構的模型進行動力學分析,不僅僅是其結合面阻尼的耗散占結構總耗散的90%以上[9],其結構剛度的變化同樣對動力學特性有很大的影響。

2. 2 杠桿力因子
fpry的影響分析公式(4) 中可以得出對杠桿力最直接的影響因素除了上述的預緊力還有外載荷作用線與螺栓軸線之間距離lb,該距離越短,相同條件下螺栓結構能承受的杠桿力就越大。在預緊力給定的條件下本節中調整上述模型中的lb長度,確定其在總長中的比例, 建立8個模型,在相同杠桿力作用下對該參數進行討論分析。
將上述8個模型杠桿力作用的聯接剛度變化列于表5中,同時對不同模型在杠桿力作用下的軸向力-軸向位移分析數據,結果變化如圖8所示,不難得到下面的結論:



( 1) lb長度越小,整個聯接結構的初始剛度就越大,lb增加了30% ,剛度降低60% 。
( 2) 隨著lb長度增加,剛度降低的程度逐漸增加。綜合上述分析,該參數對聯接結構剛度的影響較大,在設計螺栓聯接結構時,保證實際安裝尺寸的前提 下,應盡量將lb縮短。
3 剛度擬合公式
綜合上述分析可以看出,聯接剛度隨著杠桿力的作用發生了很大的變化,聯接剛度是結構進行動力學分析的最重要條件,因此合理的預測和分析該參數對于動力計算有至關重要的影響。對預緊力和杠桿力作用距離lb對結構剛度的影響進行了分析,隨著杠桿力的增加,聯接結構剛度顯著下降。分析其下降趨勢符合雙指數形式的類型,考慮選取參數進行擬合,擬合公 式( 5) ,分別選取預緊力及杠桿力影響因子為自變量參數,根據表2 和表4的數據對其余參數進行擬合[10]。
3. 1 Ppre剛度擬合公式
表3列出了6種預緊力條件下杠桿力作用的剛度計算結果,分別對上述參數采用式(5)進行擬合,得到不同預緊力作用下的剛度計算結果與擬合結果對比如圖9所示,各參數隨著預緊力的不同而變化,選用線性擬合參數,計算結果如式:


從擬合結果和數值計算結果中可以看出,兩者可以很好的吻合。
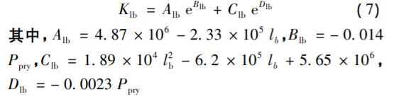
3. 2 fpry剛度擬合公式
在影響因素中,lb的影響較大,對于該參數,表5列出了8個不同杠桿力作用距離的剛度計算結果,由于參數C的計算結果離散度較大,采用二次擬合,得到如式( 7) ,計算結果與擬合結果對比如圖10所示。同樣采用上述計算方法進行擬合計算:

選擇合理的方式對計算數據進行擬合可以得到杠桿力與聯接剛度之間的計算公式,該方法可以提供工程計算中不同預緊力作用下剛度變化以及不同安裝位置的簡化分析,對于實際應用中進行動力學變剛度分析,提供了基礎剛度的研究依據有著很重要的意義。

4 結論
本文對螺栓聯接初始剛度及在杠桿力作用下的剛度變化及其影響因素進行了分析,得到了以下幾點結論:
(1) 計算了杠桿力作用下螺栓聯接整體剛度隨著杠桿力增加而不斷減少的規律,該結果與文獻[3]的計算結果吻合。
(2) 分析了不同預緊力作用下螺栓聯接承受杠桿力的整體剛度變化規律,得到預緊力作為聯接的很重要因素,較大的預緊力可以保證結構的初始剛度,但是影響較為有限,預緊力增加 100% 的條件下,初始剛度增加13% 。并且在杠桿力作用過程中,其不同預緊力其結構整體剛度減小的幅度基本相同,所以對于該類型受力結構要保證結構整體剛度,預緊力并不是最重 要的因素。
( 3) 分析了杠桿力作用線距離螺栓中心的距離對承受杠桿力作用的整體剛度變化規律,距離越短,整個聯接結構的初始剛度就越大,該距離增加30%,剛度降低60%。同時在杠桿力作用過程中,距離越短,整體剛度減小幅度越小,距離是影響結構剛度的首要因 素。
( 4) 分別對不同預緊力及不同距離的螺栓聯接剛度變化進行了公式擬合,為動力學分析提供了基礎剛度的研究依據。